[原创]1.12交易明细 [大智慧]
- 咨询问题:
2012年1月12日沪深A股龙虎榜
(大智慧信息数据采集)
此主题相关图片如下:1.jpg
- 大智慧客服:
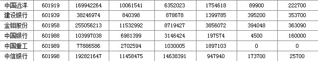
2012年1月12日沪深A股大宗交易明细
(大智慧信息数据采集)
此主题相关图片如下:2.jpg
- 大智慧客服:
2012年1月12日沪深A股融资融券交易明细
(大智慧信息数据采集)
此主题相关图片如下:3.jpg
此主题相关图片如下:4.jpg
此主题相关图片如下:5.jpg
- 网友交流:
此主题相关图片如下:6.jpg
此主题相关图片如下:7.jpg
此主题相关图片如下:8.jpg
- 用户交流:
此主题相关图片如下:9.jpg
此主题相关图片如下:11.jpg
此主题相关图片如下:12.jpg
- 上一篇:[原创]1.13早盘速递
- 下一篇:数据太少
相关文章
-
没有相关内容

会员登录/注册